2022. 7. 22. 18:38ㆍ알고리즘/programmers
그래프 문제입니다.
간선 별로 가중치가 다르게 설계되어있네요.
최솟값을 묻는 문제이니, 우리 많이 당해봤잖아요? 그쵸?
BFS를 써서 문제를 풀어봅시다!
문제 요약
![]() |
![]() |
N은 마을의 수, K는 배달까지 걸리는 최대 시간입니다.
1번 마을에서 출발해서 K 시간 이하로 갈 수 있는 모든 마을의 수를 return해주세요!
입출력 예
| N | road | K | result |
| 5 | [[1,2,1],[2,3,3],[5,2,2],[1,4,2],[5,3,1],[5,4,2]] | 3 | 4 |
| 6 | [[1,2,1],[1,3,2],[2,3,2],[3,4,3],[3,5,2],[3,5,3],[5,6,1]] | 4 | 4 |
접근 방법
일단 BFS를 설계하기 위해서는 큐를 만들어줘야합니다.
이번 문제에서는 간선의 방향이 중요하지 않습니다. 만약 1번 마을에서 시작하는 길을 찾으려면
const vil1 = road.filter(v => v[0] === 1 || v[1] === 1);
이렇게 찾을 수 있겠군요!
저는 편의상 큐에 [start, end, length] 이렇게 넣어줬습니다. 이걸 생각 안해주면 마을 1에서 마을 2를 갔다가 다시 되돌아오는 루프에 빠질 수도 있습니다. 잘 조절해서 넣어줍시다!
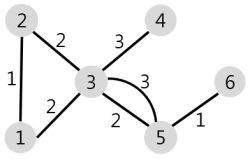
또 중요한 점은 일반적인 bfs/dfs에서는 visited를 방문했냐 안했냐가 중요하기 때문에 boolean의 배열로 넣지만, 여기선 그렇게 중요하지 않을 수 있습니다. 예를 들어 이걸 보시죠!

일단 무조건 1번 노드에서 시작하기 때문에 무조건 3번 노드를 방문하게 됩니다.
그런데 사실 가장 빨리 갈 수 있는 방법은 4번 마을로 우회하는 방법이죠. (직행하는경우: 3, 4번 우회하는 경우: 2)
visited가 boolean이면 4번에서 3번 넘어가는 경우의 수는 무조건 걸러지게 됩니다.
따라서 초기값을 Infinity로 설정한 숫자 배열로 넣어줘야합니다.
그러면 제가 짠 코드를 같이 보시죠!
정답 코드(BFS)
class Queue {
constructor() {
this.queue = [];
this.front = 0;
this.rear = 0;
}
enqueue(val) {
this.queue[this.rear++] = val;
}
dequeue() {
const val = this.queue[this.front];
delete this.queue[this.front];
this.front++;
return val;
}
size() {
return this.rear - this.front;
}
isEmpty() {
return this.rear === this.front;
}
}
function solution(N, road, K) {
const queue = new Queue();
const node1 = road.filter(v => v[0] === 1 || v[1] === 1);
node1.forEach(v => {
if (v[2] <= K) {
if (v[0] === 1) queue.enqueue([v[0], v[1], v[2]]);
else queue.enqueue([v[1], v[0], v[2]]);
}
});
const visited = [Infinity, 0, ...Array(N - 1).fill(Infinity)];
while (!queue.isEmpty()) {
const [start, end, length] = queue.dequeue();
if (visited[end] >= length) visited[end] = length;
else continue;
const next = road.filter((v) => v[0] === end || v[1] === end);
for (const vilage of next) {
const nextLength = length + vilage[2];
if (nextLength <= K){
if (vilage[0] === end) {
queue.enqueue([vilage[0], vilage[1], nextLength]);
}
if (vilage[1] === end) {
queue.enqueue([vilage[1], vilage[0], nextLength]);
}
}
}
}
return visited.filter(v => v <= K).length;
}
가중치가 1이 아니기 때문에 visited를 숫자로 넣어줘야한다는 팁을 얻었습니다.
간단히 주요 요소들 한번 리뷰하고 넘어가죠!
팁 1. visited의 초기화
const visited = [Infinity, 0, ...Array(N - 1).fill(Infinity)];
전 visited를 N + 1 개만큼 만들어줬습니다. index로 편하게 접근하고 싶었어요.
문제 제한 사항으로 0번 마을이 나올일이 없으니 전부 Infinity로 초기화 해주시고, 1번 마을만 0을 넣어주면 되겠네요. (시작점이니까요)
팁 2. bfs 루프
while (!queue.isEmpty()) {
const [start, end, length] = queue.dequeue();
// visited에 적힌 값보다 지금 루트가 길이가 작다면 갱신 크다면 다음 분기로
if (visited[end] >= length) visited[end] = length;
else continue;
const next = road.filter((v) => v[0] === end || v[1] === end);
for (const vilage of next) {
const nextLength = length + vilage[2];
if (nextLength <= K){
//이 분기는 v[0]과 v[1]에 end가 있는 경우를 모두 고려했기 때문에 걸러줍니다.
if (vilage[0] === end) {
queue.enqueue([vilage[0], vilage[1], nextLength]);
}
if (vilage[1] === end) {
queue.enqueue([vilage[1], vilage[0], nextLength]);
}
}
}
}
전 그냥 제 편의상 start에는 이전 노드를 end에는 이번 노드, length는 여태까지 경로의 총합을 넣어줬습니다.
그래서 이전노드를 start 위치에 두기 위한 귀찮은 분기가 생겼지만 그래도 괜찮게 푼 것 같습니다.
그럼 이만!
'알고리즘 > programmers' 카테고리의 다른 글
| [JS] 위장 - 그런데 이제 수학적인 팁을 곁들인... (0) | 2022.07.24 |
|---|---|
| [JS] 2 x n 타일링 - 이거 왜 피보나치인지 알려드림! (0) | 2022.07.23 |
| [JS] 괄호 회전하기 (0) | 2022.07.21 |
| [JS] 후보키 - every를 아시나요? (0) | 2022.07.20 |
| [JS] 게임맵 최단거리 - 미뤄뒀던 BFS에 대해 (0) | 2022.07.19 |

