2022. 8. 2. 17:31ㆍ카테고리 없음
일단 이름부터 그냥 bfs 문제입니다.
다만 제한 사항이 있기 때문에 약간의 아이디어만 있다면 쉽게 푸실 수 있을거에요.
다들 푸셨나요? 혹시 8, 9 번이 시간 초과가 나진 않으신가요?
그렇다면 간단한 팁과 함께 같이 한번 보시죠!
문제 요약
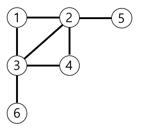
노드의 개수 n, 간선에 대한 정보가 담긴 2차원 배열 vertex가 매개변수로 주어질 때, 1번 노드로부터 가장 멀리 떨어진 노드가 몇 개인지를 return 하도록 solution 함수를 작성해주세요.
제한사항
- 노드의 개수 n은 2 이상 20,000 이하입니다.
- 간선은 양방향이며 총 1개 이상 50,000개 이하의 간선이 있습니다.
- vertex 배열 각 행 [a, b]는 a번 노드와 b번 노드 사이에 간선이 있다는 의미입니다.
테스트케이스
| n | vertex (edge) | return |
| 6 | [[3, 6], [4, 3], [3, 2], [1, 3], [1, 2], [2, 4], [5, 2]] | 3 |

접근 방법
전형적인 bfs이지만, 다음 노드를 찾을 때 루프안에서 edge를 조작하는 걸 조심해야합니다.
레벨 3 문제를 몇 개 안 풀어봤지만, 제한사항 등에서 디테일을 조심해야할 것 같아요.
노드의 갯수가 20,000개 이하이고 간선은 50,000개 이하이기 때문에 edge를 매번 filter해주는 과정이 최악의 경우 매번 50,000번의 루프를 태운다는 소리입니다.
bfs 루프 밖에서 다음 노드에 도착할 수 있는 해시맵이나 다중 배열을 미리 정의해두고 한번 이용해봅시다!아마 시간초과가 날 일은 없을 거에요.
동작 순서
- 큐, 해시맵 등 필요한 클래스, 함수 제작
- 노드 1에서 출발하여 bfs 시작
- 길이 중 최댓값의 갯수를 return
정답 코드는 같이 보시죠! 약간 길지만 중요하게 봐야할 부분은 bfs 내부 정도..?
정답 코드
class Queue {
constructor() {
this.queue = [];
this.front = 0;
this.rear = 0;
}
enqueue(val) {
this.queue[this.rear++] = val;
}
dequeue() {
const val = this.queue[this.front];
delete this.queue[this.front++];
return val;
}
isEmpty() {
return this.front === this.rear;
}
show() {
return this.queue;
}
}
function setNode(nodeMap, node1, node2) {
if (nodeMap.has(node1)) {
const arr = nodeMap.get(node1);
arr.push(node2);
nodeMap.set(node1, arr);
} else {
nodeMap.set(node1, [node2]);
}
return nodeMap;
}
function solution(n, edge) {
const queue = new Queue();
let nodeMap = new Map();
for (const [node1, node2] of edge) {
nodeMap = setNode(nodeMap, node1, node2);
nodeMap = setNode(nodeMap, node2, node1);
}
nodeMap.get(1).forEach(v => queue.enqueue([1, v, 1]));
const lengths = [0, 0, ...Array(n - 1).fill(Infinity)];
while (!queue.isEmpty()) {
const [prev, curr, length] = queue.dequeue();
if (lengths[curr] > length) {
lengths[curr] = length;
const nextNodes = nodeMap.get(curr);
nextNodes.forEach(v => queue.enqueue([curr, v, length + 1]));
} else continue;
}
let max = Math.max(...lengths);
return lengths.filter(v => v === max).length;
}
팁 1. Map은 왜 두 번씩 넣어주나요?
for (const [node1, node2] of edge) {
nodeMap = setNode(nodeMap, node1, node2);
nodeMap = setNode(nodeMap, node2, node1);
}
왜냐하면 양방향 간선이기 때문입니다. edge의 앞에 1이 오든, 뒤에 1이 오든 다음 노드의 대상입니다.
일단 전부 넣어놓은 다음 bfs 로직에서 걸러줍시다!
팁 2. bfs 동작 원리
while (!queue.isEmpty()) {
const [prev, curr, length] = queue.dequeue();
if (lengths[curr] > length) {
lengths[curr] = length;
const nextNodes = nodeMap.get(curr);
nextNodes.forEach(v => queue.enqueue([curr, v, length + 1]));
} else continue;
}
bfs 처음 다뤘던게 진짜 일주일정도 된거 같은데 꽤 많이 익숙해졌네요. 아니네요 2주일은 됐군요.
2022.07.19 - [알고리즘/programmers] - [JS] 게임맵 최단거리 - 미뤄뒀던 BFS에 대해
[JS] 게임맵 최단거리 - 미뤄뒀던 BFS에 대해
이 문제는 정말 정석적인 재귀함수 문제입니다. 뭔가 계속 관성적으로 dfs를 쓰다보니 (사실 bfs는 큐를 사용하기 때문에 생각하기 싫은 것도 있었어요.) 효율성 테스트가 통과가 안되더라구요.
dev-russel.tistory.com
아무튼 중요한 건 visited(lengths)에 boolean을 쓰지 않고 1에서부터의 최소 거리를 넣어줬다는 점입니다.
이미 3다리만에 갈 수 있는 5를 4번, 5번에 가는 경우는 굳이 계산해 줄 필요가 없습니다.
그렇기 때문에 아무런 걱정 없이 위에서 정의한 nodeMap의 다음노드를 다 넣어줘도 됩니다.
만약 이전 노드로 돌아가거나 최소경로로 가지 않는다면 length가 더 커질 꺼기 때문에 자동으로 continue로 다음 노드로 넘어갈 수 있습니다.
레벨 3치곤 쉽네요. 한 0.5 조이스틱(이문제 왜 레벨 2임) 정도..?
그럼 이만!